English
首页
关于我们
产品中心
材料化学品
精细化工
食品保健品原料
饲料添加剂
化妆品添加剂
药用辅料
医药中间体
原料药
研发中心
新闻中心
公司新闻
行业新闻
加入我们
联系我们
LNK
TOP
顺-15-二十四碳烯酸
CAS NO:506-37-6
L-硒甲基硒代半胱氨酸
CAS NO:26046-90-2
α-酮戊二酸钙(Ca-AKG)
CAS NO:402726-78-7
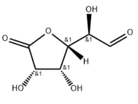
D-葡醛内酯
CAS NO:32449-92-6
苯乙炔
CAS NO:536-74-3
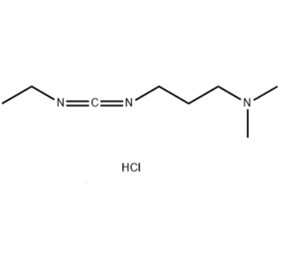
1-乙基-(3-二甲基氨基丙基)碳酰二亚胺盐酸盐EDC.HCl
CAS NO:25952-53-8
4-异硫代氰酰基-2-(三氟甲基)苯甲腈
CAS NO:143782-23-4
吡咯喹啉醌钠盐
CAS NO:122628-50-6
生物素
CAS NO:58-85-5
1,3-二羟基丙酮
CAS NO:96-26-4
氟比洛芬
CAS NO:5104-49-4
克罗米通
CAS NO:483-63-6
S-乙酰-L-谷胱甘肽(SAG)
CAS NO:3054-47-5
2,5-二羟基苯甲醛
CAS NO:1194-98-5
吲哚啉
CAS NO:496-15-1
(-)-科立内酯二醇
CAS NO:32233-40-2
5-磷酸吡哆醛一水合物
CAS NO:41468-25-1
维生素A醋酸酯
CAS NO:127-47-9
(+)-氯前列醇异丙基酯
CAS NO:157283-66-4
噻托溴铵一水合物
CAS NO:139404-48-1