English
首页
关于我们
产品中心
材料化学品
精细化工
食品保健品原料
饲料添加剂
化妆品添加剂
药用辅料
医药中间体
原料药
研发中心
新闻中心
公司新闻
行业新闻
加入我们
联系我们
LNK
TOP
泰拉霉素
CAS NO:217500-96-4
氟甲喹
CAS NO:42835-25-6
西咪替丁
CAS NO:51481-61-9
扑热息痛
CAS NO:103-90-2
阿莫西林三水合物
CAS NO:61336-70-7
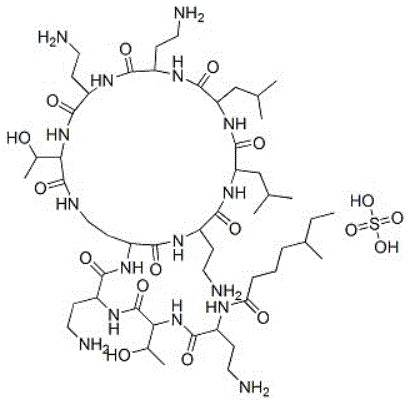
硫酸粘菌素
CAS NO:1264-72-8
三水氨苄西林
CAS NO:7177-48-2
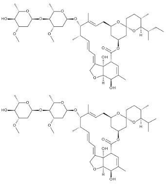
伊维菌素
CAS NO:70288-86-7
盐酸米诺环素
CAS NO:13614-98-7
非诺贝特
CAS NO:49562-28-9
洛沙坦钾
CAS NO:124750-99-8