English
首页
关于我们
产品中心
材料化学品
精细化工
食品保健品原料
饲料添加剂
化妆品添加剂
药用辅料
医药中间体
原料药
研发中心
新闻中心
公司新闻
行业新闻
加入我们
联系我们
LNK
TOP
D-酪氨酸
CAS NO:556-02-5
D-丝氨酸
CAS NO:312-84-5
D-色氨酸
CAS NO:153-94-6
4-氨基丁酸
CAS NO:56-12-2
(3R)-3-羟基丁酸钙
CAS NO:2138463-93-9
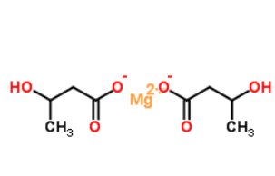
(R)-3-羟基丁酸镁
CAS NO:163452-00-4
R-3-羟基丁酸钾
CAS NO:110972-51-5
beta-丙氨酸
CAS NO:64700-13-6
(R)-(-)-3-羟基丁酸钠盐
CAS NO:13613-65-5
硫酸胍丁胺
CAS NO:2482-00-0
L-缬氨酸
CAS NO:72-18-4
D-葡萄糖醛酸
CAS NO:6556-12-3
维生素A醋酸酯
CAS NO:127-47-9
氨基葡萄糖盐酸盐
CAS NO:66-84-2
L-丝氨酸
CAS NO:56-45-1
烟酰胺
CAS NO:98-92-0
呋喃硫胺
CAS NO:804-30-8
烟酰胺腺嘌呤二核苷酸(NAD)
CAS NO:53-84-9
超低分子量透明质酸(1000D)
CAS NO:9004-61-9
维生素E醋酸酯
CAS NO:7695-91-2