English
首页
关于我们
产品中心
材料化学品
精细化工
食品保健品原料
饲料添加剂
化妆品添加剂
药用辅料
医药中间体
原料药
研发中心
新闻中心
公司新闻
行业新闻
加入我们
联系我们
LNK
TOP
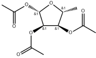
1,2,3-三乙酰氧基-5-脱氧-D-核糖
CAS NO:62211-93-2
卡培他宾中间体