English
首页
关于我们
产品中心
材料化学品
精细化工
食品保健品原料
饲料添加剂
化妆品添加剂
药用辅料
医药中间体
原料药
研发中心
新闻中心
公司新闻
行业新闻
加入我们
联系我们
LNK
TOP
(6S)-1-(3-甲氧基-2-(2-丙烯基)苯基)6-(四氢-2H-吡喃-2-基)氧代)2-十一碳炔-1-酮
CAS NO:223734-57-4
曲前列尼尔钠中间体
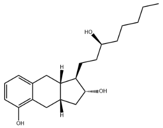
(1R,2R,3AS,9AS)-2,3,3A,4,9,9A-六氢-1-[(3S)-3-羟基辛基]-1H-苯并[F]茚-2,5-二醇
CAS NO:101692-02-8