English
首页
关于我们
产品中心
材料化学品
精细化工
食品保健品原料
饲料添加剂
化妆品添加剂
药用辅料
医药中间体
原料药
研发中心
新闻中心
公司新闻
行业新闻
加入我们
联系我们
LNK
TOP
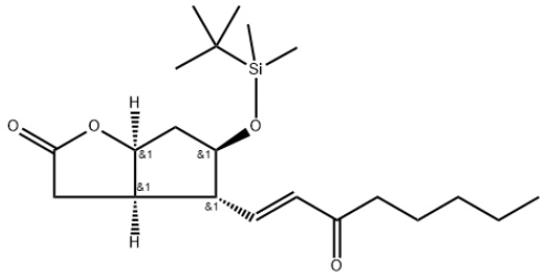
地诺前列腺素中间体 (3aR,4R,5R,6aS)-5-(叔丁基二甲基硅基氧基-4-((E)-3-氧代己-1-烯-1-基)六氢-2H-环戊并[b]呋喃-2-酮
CAS NO:64072-25-9
地诺前列腺素中间体
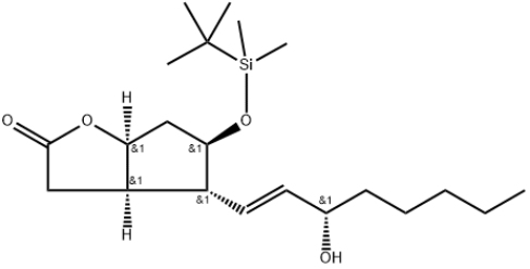
(3aR,4R,5R,6aS)-5-((叔丁基二甲基氯硅烷基)氧基)-4-((S,E)-3-羟基辛基-1-烯-基)六氢-2H-环戊烷并[b]呋喃-2-酮
CAS NO:64072-30-6
(3aR,4R,5R,6aS)- 六氢-5-羟基-4-[(1E,3S)-3-羟基-1-辛烯-1-基]-2H-环戊并[b]呋喃-2-酮 ; 3R-DPOL
CAS NO:26054-67-1